Prace nad Podręcznikiem „Jak przejść z ogrodem na TY” wkraczają w decydującą fazę. Etap tworzenia treści jest już zakończony, pozostała redakcja, skład, korekta, obróbka zdjęć i cała oprawa techniczna.
Niemniej jednak trzon podręcznika jest już gotowy, z czego jestem bardzo zadowolony. Uważam, że zrobiony został kawał dobrej pracy, która powinna się podobać. I co najważniejsza powinna być przydatna.
.
Jak pewnie wiesz, od przeszło miesiąca trwa przedsprzedaż, a więc jest możliwość aby na podręcznik się „zapisać”. Natomiast wraz z ogłoszeniem przedsprzedaży, poza zamówieniami, które spływają, uruchomiłem także lawinę pytań, które dostaję niemniej licznie. Pytania są oczywiście różne, ale kilka głównych elementów wspólnych mogę wyróżnić. Przede wszystkim są to zapytania o formę opracowania, zawartość czyli tematy, które będą poruszone oraz sposób przekazu. Spotkałem się już nawet z pytaniem, a raczej stwierdzeniem, że książki czy podręczniki w zakresie projektowania ogrodów mają do siebie to, że i tak są średnio przydatne dla statystycznego „Kowalskiego”.
.
Na każde pytanie, które otrzymuję, staram się indywidualnie odpowiadać, wyjaśniać wątpliwości, względnie udzielać wyjaśnień. Natomiast w dzisiejszym wpisie chciałbym odnieść się właśnie do licznych pytań o „formę przekazu” oraz do wspomnianego stwierdzenia, że podręczniki do projektowania ogrodów są mało zrozumiałe i średnio przydatne dla „laików”.
Nie będę polemizował na temat innych opracowań, bo faktycznie bywa z nimi różnie. I skłonny jestem przyznać, że częściowo, niektóre mogą być w praktyce średnio przydatne. Owszem niosą ogromną dawkę teoretycznej wiedzy, ale brakuje praktycznych wskazówek, które pozwolą ją wykorzystać. Umówmy się jednak, że jest to „problem” tych opracowań.
W tym wpisie postanowiłem uchylić „rąbka tajemnicy” i zaprezentować Ci jeden z małych podrozdziałów, na podstawie którego możesz ocenić styl podręcznika, właśnie formę przekazu wiedzy i sposób jej podania. W sposób bezpośredni możesz ocenić, czy to o czym czytasz, jest dla Ciebie zrozumiałe i jesteś w stanie to w praktyce wykorzystać. Wybrałem podrozdział pt.: Samodzielne wyniesienie projektu ogrodu w terenie. Zbliża się wiosna, więc pomyślałem, że poza przykładem, wątek może być przydatny. Szczególnie jeśli jakimś projektem dysponujesz.
Jest to jeden z tematów, mniej więcej z połowy treści podręcznika. Przed nim było wszystko to, co pozwoliło ten projekt opracować, jeszcze wcześniej samodzielnie przygotować sobie podkład projektowy, a za nim to, co pozwoli ogród samodzielnie zrealizować. Niemniej jednak wszystko jest pisane według tego samego „klucza” i w mojej ocenie równie zrozumiale. Zatem mogę Cię zapewnić, że jeśli przystępne będzie dla Ciebie to, co poniżej przykładowo przedstawię, równie przystępne będą dla Ciebie informacje:
- jak znaleźć idealną działkę, wolną od wad i zagrożeń prawnych oraz fizycznych,
- jak bezproblemowo przejść formalności budowlane, z ukierunkowaniem na co zwrócić uwagę aby utorować sobie drogę do fajnego ogrodu,
- jak przygotować podkład pod projekt ogrodu, z wykorzystaniem tego, co jest ogólnie dostępne, a w sposób bezdyskusyjny ułatwia sprawę,
- jak samodzielnie zaprojektować ogród taki, który idealnie wpisze się w Twoją działkę,
- jak ten ogród wykonać, jak dobrać materiały i jak poradzić sobie z pozornie trudnymi elementami technicznymi.
.
To tylko główne wątki, które ostatecznie rozbite są na:
- VI głównych części,
- 12 rozdziałów,
- 114 podrozdziałów,
- i blisko 700 stron tekstu i przykładów zdjęciowo – graficznych.
.
Zanim spojrzysz na przykładowy podrozdział, chciałbym Ci jeszcze przedstawić kilka myśli, na których podręcznik jest oparty. Znajdziesz je również w słowie wstępnym, jeśli zdecydujesz się na jego zakup. Były one mottem do jego powstania i najlepiej powinny zobrazować Ci przesłanie, które ma z niego wynikać:
Co oznacza, że w podręczniku nie będę atakował Cię nadmierną dawką teorii, która zamiast pomóc, mogłaby Cię tylko zniechęcić do dalszego działania. Staram się poruszyć tylko to, co uważam za absolutne minimum, o którym powinieneś wiedzieć na poszczególne tematy. Jednocześnie takie minimum, które przeprowadzi Cię dalej, pozwoli samodzielnie zrealizować określony etap, lub wskaże drogę do jego przejścia.
.
Co oznacza, że informacje, które Ci przekażę, nie będą tylko suchą teorią. Wszystko podparte będzie przykładami, które pozwolą wcielić Ci je w życie. Problemy, które w podręczniku podejmuję, podparte są przykładami, zdjęciami, względnie innymi pomocami, które ułatwią odnieść je, do Twojej, własnej sytuacji.
.
Co oznacza, że posiadanie wiedzy, nawet tej podstawowej, w wielu sytuacjach może Ci pomóc. Szczególnie w tak długiej drodze, jak droga od wyboru działki, do własnego ogrodu. Jeśli na poszczególne tematy nie wiesz nic, inni wszystko mogą Ci wmówić, oczywiście nie zawsze w dobrej wierze. Jeśli natomiast coś już wiesz, stajesz się automatycznie partnerem w dyskusji. A to, może Cię tylko ustrzec przed wieloma problemami.
.
Co oznacza, że jeśli na pewnych sprawach się nie znasz, wyobrażasz sobie, że nie wiadomo jak są wielkie i poważne. Tym samym, masz przed nimi dystans, być może ich unikasz, a tymczasem może się okazać, że przy kilku cennych wskazówkach, możesz się samodzielnie z nimi zmierzyć. To również może zapobiec temu, że ktoś próbowałby Twoją niewiedzę umiejętnie wykorzystać.
.
Co oznacza, że podręcznik nie jest opracowaniem na poziomie akademickim, który ma Ci „zatruć” życie teorią, której nigdy nie będziesz w stanie wykorzystać. Jak już wspomniałem, wszystko to, o czym piszę, sprawdziłem na własnych przykładach, a z sytuacjami, do których się odnoszę, zetknąłem się w swoim zawodowym życiu. Wiele z przykładów, szczególnie z etapu projektowania i zakładania ogrodu, to moje autorskie metody, które jednak z powodzeniem stosuję, i które pozwoliły zrealizować niejeden ogród. Dlatego podręcznik podchodzi do Ciebie jak do „zwykłego Kowalskiego”, który chce wybrać dobrą działkę, bezproblemowo przejść budowę i fajnie urządzić ogród. Fajnie to znaczy, w miarę ciekawie, z użyciem dostępnych rozwiązań, ale bez nadmiernego wdawania się w tajniki projektowe, style i teorię, która bardziej przyda się do „światowych” ogrodów, niż polskich, kilkuarowych działek. Co więcej, podręcznik ma Ci pokazać, jak zrobić to świadomie, jak skalkulować koszty, na co zwrócić uwagę, aby nie dać się złapać w „pułapkę” wielkich projektów. I najważniejsze: ma pomóc zrobić Ci to samemu. Tak prosto jak tylko można, ale nie bardziej.
.
Co jest kontynuacją poprzedniej myśli. Wiedza, którą powinieneś posiąść, nie powinna pochodzić od teoretyków. Choćby nawet byli największymi znawcami tematu. Tobie potrzebna jest wiedza praktyczna, która przełożona jest na Twój język. Tylko taką możesz wykorzystać, tylko w niej kryją się drobiazgi, które na Twojej drodze mogą się pojawić. Teoria może ich czasem nawet nie przewidywać, a w praktyce mogą okazać się problemami nie do przejścia. Dlatego, w Twojej drodze do ogrodu, to praktykę powinieneś poznać, a poznanie ogólnej, nadmiernej teorii, zostawić sobie na inny czas.
.
Poniżej znajdziesz jeden, przykładowy podrozdział podręcznika. Mogę powiedzieć, że jest jeszcze „ciepły” tzn. niedawno wyszedł „spod pióra”. Dlatego traktuj go jako pewnego rodzaju szkic, który jak wspomniałem na wstępie, będzie dopiero poddany ostatecznej obróbce.
Zwróć uwagę na rysunki, które pojawiają się w treści. Nie są to wypieszczone grafiki, ale odręczne rysunki, które powstawały w tracie tworzenia podręcznika. Takie same, robione takimi samymi metodami, na zwykłej kartce i takim samym sprzętem, z jakiego będziesz korzystał jeśli zdecydujesz się na samodzielne opracowanie projektu. Jak podkreślam podręcznik i metody w nim opisane dostosowane są do Twoich potrzeb i warunków, w jakich ewentualny projekt swojego ogrodu będziesz realizował.
Dodatkowo chciałem Ci powiedzieć, że projekt jaki omawiam w poniższym przykładzie to projekt, które we wcześniejszych częściach podręcznika powstawał. Krok po kroku, od przygotowania podkładu, przez cały proces projektowy, wybór stylu, dobór roślin itd., cały czas na tym samym przykładzie. Stąd też, jeśli będziesz chciał ten proces w podręczniku prześledzić, z pewnością nie zgubisz całego wątku.
Spójrz na podrozdział podręcznika „Jak przejść z ogrodem na TY” pt.:
Samodzielne wyniesienie projektu ogrodu w terenie.
.
Wbrew pozorom wyznaczenie w terenie tego co zaprojektowałeś, wcale nie jest skomplikowane. Wystarczy do tego podkład projektowy, który posiadasz oraz kilka przyrządów, którymi z pewnością dysponujesz. A są to:
- linijka,
- dwie ekierki,
- techniczny ołówek o grubości 0,5mm,
- taśma pomiarowa 20 lub 30 metrowa, taka luźna, zwijana na specjalny bęben, zakończony rączką. Ta sama, której używałeś jak przygotowywałeś podkład projektowy, a konkretnie domierzałeś w terenie elementy, których nie było na mapie. Dodam, że dostępna w każdym markecie budowlanym w niewielkiej cenie,
- taśma pomiarowa 5 lub 10 metrowa, taka sztywna, zwijana w małą osłonkę mieszczącą się w ręce. Również ta, której wcześniej używałeś,
- bolce metalowe lub paliki drewniane, mniej więcej długości 0,5 metra,
- młotek,
- spray do oznaczenia palików, który jednak nie jest konieczny, potraktujmy go więc jako element „luksusowy”.
Ponadto po raz kolejny musisz sobie przypomnieć mechanizm działania skali. A działa on w dwie strony:
- z miar terenowych na miary w skali mapy,
- z miar w skali mapy na miary terenowe.
I właśnie teraz będzie nas dotyczył ten drugi przypadek. Przypomnę, że wcześniej przy aktualizacji podkładu, mierzyłeś w terenie, a następnie przeliczałeś wg. współczynnika i otrzymywałeś wartość w skali podkładu, którą na niego nanosiłeś. Teraz będziesz mierzył na podkładzie i według współczynnika będziesz przeliczał na miary terenowe. Tymi miarami będziesz wyznaczał elementy projektowane w terenie. I jest to zasada numer 1.
Zasada numer 2 w tym przypadku, to identyfikacja wspólnych elementów na podkładzie i w terenie. Czyli jeśli na przykład odmierzysz sobie miary na określoną ścianę budynku na podkładzie, to z tej samej ściany będziesz wyznaczał je w terenie. Zatem kluczową sprawą jest taki dobór linii pomiarowych na podkładzie, aby było łatwo mierzyć z nich w terenie. Zatem jeśli chciałeś pobrać miary z podkładu na określoną linię graniczną, a w terenie przy tej linii leży np. sterta desek po budowie lub rosną jakieś drzewa, to oczywistym jest, że będziesz miał kłopoty aby te miary precyzyjnie odmierzać. W związku z tym musisz obrać inną linię, która w terenie, w łatwy sposób jest dostępna do pomiaru. I jeszcze jedna uwaga: nie dobieraj linii dłuższych niż długość tej Twojej luźnej taśmy (20 lub 30 metrów).
Tyle zasad wstępnych, które są potrzebne do wyznaczenia projektu w terenie. Zanim się za to zabierzemy, ostatnie przypomnienie mechanizmu działania skali.
W naszym przykładzie, jak już doskonale pamiętasz, była to skala 1:250, a zatem:
- 1 milimetr w skali mapy = 0,25 metra w terenie
- 4 milimetry w skali mapy = 1 metr w terenie
- 1 centymetr w terenie = 0,04 milimetra w skali mapy
Gdybyś pracował na podkładzie w skali 1:100, wyglądałoby to następująco:
- 1 milimetr w skali mapy = 0,1 metra w terenie
- 1 centymetr w skali mapy = 1 metr w terenie
- 1 centymetr w terenie = 0,1 milimetra w skali mapy
Rozpoczynając omówienie wyznaczenia projektu w terenie, przypomnę Ci jeden z wcześniejszych rysunków. Omawiałem na nim jak należałoby postąpić, gdybyś na podkład terenowy chciał nanieść jakiś nieregularny kształt istniejący w Twoim przyszłym ogrodzie. Załóżmy jakąś przykładową rabatę w narożniku działki. Wówczas jak widzisz na rysunku, najłatwiej byłoby ją zdomiarować na dwie sąsiednie linie graniczne. Ilość tych domiarów na tyle zagęścić, aby jak najwierniej oddać kształt rabaty.
Następnie te miary przemnożyć przez współczynnik skali mapy i nanieść na podkład. Zasadę zarówno pomiaru pod kątem prostym w terenie, jak również naniesienia na mapę, omawiałem na etapie aktualizacji podkładu, w III części podręcznika. Zachowując tą kolejność czynności, uzyskasz kształt idealnie przeniesiony z terenu na podkład.
Dlaczego Ci to w tym miejscu przypominam? Bo zaraz będziesz musiał zrobić czynność dokładnie odwrotną. Czyli mając określony element na podkładzie, czy to pojedynczy punkt czy linię krzywą, będziesz musiał je zwymiarować na mapie, pod kątem prostym do wybranej przez siebie linii (najlepiej najbliżej położonej i takiej, która jest dostępna w terenie). I te miary, w skali mapy zapisać sobie na podkładzie. Tak, jak pokazuje przykład, który omówię poniżej.
Krok pierwszy to określenie linii pomiarowych, na które będziemy domiarować. Na początek są to dwie linie wzdłuż granicy, opisane „linia pomiarowa nr 1” i „linia pomiarowa nr 2”. W terenie również są one dostępne, jak pamiętasz z wcześniejszych opisów tego przykładu, biegnie wzdłuż nich siatka ogrodzeniowa. Dobrze się więc składa, łatwo będzie można wzdłuż niej rozciągać taśmę pomiarową.
Mając określone pierwsze linie pomiarowe, zaczynamy domiarowanie elementów projektowanych.
Przypomnę, że pojedynczy domiar oznacza linię, która jest pod kątem prostym do linii pomiarowej i przechodzi przez element, który chcemy zamierzyć (zdomiarować).
Na początek zajmiemy się obrzeżem, od miejsca, w którym wcina się w projektowany chodnik do przyszłej altany. W tym celu przykładamy jedną ekierkę wzdłuż linii pomiarowej, a drugą będziemy przesuwać po niej prostopadle, dojeżdżając do kolejnych elementów, które chcemy „złapać”. Na poniższym zdjęciu ekierka, którą przesuwamy, dojechała do pierwszego punktu, który nas interesuje.
I tak przesuwając ekierkę po linii pomiarowej, kolejnymi domiarami zrzutowaliśmy odcinek łuku obrzeża, pomiędzy dwoma chodnikami. Jeśli projektowane obrzeże byłoby linią prostą, to moglibyśmy to zrobić na dwóch punktach: pierwszym i ostatnim tego odcinka. Ale, że mamy łuk, więc punkty musimy zrzutować na tyle gęsto, aby następnie precyzyjnie odtworzyć łuk w terenie. Musisz to robić „na wyczucie”, tak aby sąsiednie rzutowane punkty elementu projektowanego, tworzyły małe odcinki proste.
Mając zrobiony odcinek na linię pomiarową nr 1, to samo robimy na linię pomiarową nr 2.
Tak wygląda kolejny odcinek obrzeża zdomiarowany na linię pomiarową nr 2. Nie opisuję jeszcze miar aby nie zaciemniać sytuacji. Zajmiemy się tym za chwilę
Poniżej kolorem żółtym zaznaczone jest wszystko to, co do tej pory zdomiarowaliśmy.
Poniżej na kilku kolejnych zdjęciach pokażę Ci dalsze przykłady domiarowania kolejnych projektowanych elementów. Tak abyś dokładnie wyczuł jak to działa. Zajmę się więc krawędzią chodnika, która zaczyna się z tyłu budynku przy schodach tarasu, a kończy na frontowej ścianie. Pierwszą linię pomiarową (a w całym tym projekcie już trzecią) ustalam wzdłuż ściany tarasu. Będzie miała początek w narożniku schodów, czyli tam gdzie zaczyna się interesująca nas linia.
Następnie na tej linii robię pięć domiarów w prawo, a szóstym będzie punkt przecięcia linii pomiarowej z domiarowanym obrzeżem.
Mam więc już zdomiarowaną taką część interesującego nas łuku.
Następnie wyznaczam kolejną linię wzdłuż bocznej ściany tarasu i budynku (L.P. 4), na którą domiaruję osiemnaście punktów w prawo, a dziewiętnastym znów będzie punkt przecięcia linii pomiarowej i krawędzi interesującego nas obrzeża.
Co oznacza, że mamy już zdomiarowany taki odcinek.
Dalej wyznaczam kolejną linię (L.P. 5) po ścianie frontowej budynku i domiaruję na nią 6 punktów w prawo, a siódmym będzie ponownie punkt, w którym obrzeże wchodzi w linię pomiarową.
Jak więc widzisz, na 3 linie pomiarowe zdomiarowaliśmy całą interesującą nas krawędź przyszłego chodnika. Ponownie, jak wcześniej, nie zapisuję jeszcze miar, zajmiemy się tym za chwilę.
Oczywiście linie, na które domiarujesz poszczególne odcinki możesz rozciągać dowolnie, łącząc dowolne elementy. Jak wcześniej wspomniałem jest tylko jeden warunek. Linie te, między tymi samymi punktami musisz potem wyznaczyć w terenie i nic nie może Ci w tym przeszkadzać. Spójrz więc na ostatni przykład w tym zakresie czyli zdomiarowanie kolejnego odcinka projektowanego obrzeża. W tym celu wyznaczam sobie kolejną linię pomiarową (L.P. 6) pomiędzy narożnikiem budynku i tarasu, a załamaniem ogrodzenia. Załóżmy, że w terenie jest tam słupek ogrodzeniowy.
Następnie do tej linii przykładam pierwszą ekierkę (tą większą), a drugą (tą mniejszą) domiaruję punkty z lewej strony linii.
„Złapałem” trzy punkty.
„Złapałem” trzy punkty.
Złapałem dziesięć punktów, a jedenastym jest ponownie punkt przecięcia linii pomiarowej z projektowanym obrzeżem.
Mam więc złapany już taki odcinek jak poniżej, a wszystko zauważ na jedną linię L.P. 6.
Kolejną linię L.P.7 wyznaczam wzdłuż skośnej linii granicy i łapię na nią trzy punkty z lewej strony.
Dało nam to zdomiarowaną kolejną część łuku.
Wyznaczam więc kolejną linię L.P.8 na kolejną linię granicy i łapię na nią kolejnych dziewięć punktów w lewą stronę.
Tym samym mamy już zdomiarowane tyle co poniżej. Myślę, że widzisz już dokładnie jak to działa.
Tym samym sposobem, wyznaczając kolejne linie i łapiąc na nie kolejne odcinki, jesteśmy w stanie zdomiarować wszystkie projektowane elementy w Twoim przyszłym ogrodzie.
Zwróć uwagę, że robię to w ten sposób, że wyznaczam cały czas kolejne linie, na które domiaruję kolejne odcinki. Chodzi o to aby linie były jak najbliżej projektowanych fragmentów, a domiary czyli te odcinki prostopadłe od linii pomiarowej jak najkrótsze. Spowoduje to, że w terenie będzie można to stosunkowo łatwo wyznaczyć.
Unikaj więc długich domiarów, które mimo, że łatwo zmierzyć na podkładzie mapowym, ciężej precyzyjnie wyznaczyć w terenie.
Zanim przejdziemy dalej, takie trzy techniczne uwagi:
- Najpierw wyznacz sobie wszystkie linie określające domiary do punktów projektowanych, a dopiero później przystępuj do odczytywania wartości. Czyli tak jak mamy w tym momencie. Są linie, za moment będziemy je rozmierzać,
- Jeśli na jednym podkładzie nie zmieszczą Ci się wszystkie linie domiarujące, to zrób to na kilku oddzielnych. Czyli np. to co mamy w naszym przykładzie w tym momencie możemy mieć na jednym podkładzie, a do kolejnych elementów, możemy wziąć sobie podkład następny (kolejną kopię),
- Po naniesieniu linii domiarujących na jeden czy więcej podkładów, skseruj je mniej więcej 5 razy (każdy podkład). Oczywiście tak jak wcześniej na kserokopiarce zapewniającej brak zniekształceń poziomych i pionowych.
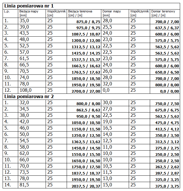
Mając wykonane kserokopie, zabieramy się za odczytywanie miar na poszczególnych liniach domiarujących. Poniższe zdjęcie przestawia miary na Linię pomiarową nr 1 i 2. Miary składają się z następujących wartości:
- miara bieżąca czyli miara narastająca od początku danej linii pomiarowej, do poszczególnych odchodzących domiarów. Na linii nr 1 są to: 35,0; 39,0; 43,5; 48,0 itd.
- domiar czyli miara na każdej linii domiarującej od linii pomiarowej do mierzonego punktu projektowanego. Na linii nr 1 są to: 28,0; 25,5; 24,0; 23,0 itd.
Wszystkie miary wykonujemy linijką, dobrze wyskalowaną czyli taką, która nie jest zniekształcona, w milimetrach, z dokładnością do 0,5 jednostki czyli właśnie 0,5 milimetra. Jest to dokładność wystarczająca dla tych celów, a jednocześnie maksymalna jaką jesteś w stanie osiągnąć takimi metodami. Dodam również, że jako skalę przyjmujemy milimetry, bo jak pamiętasz, mamy przygotowany przelicznik, którym w prosty sposób przejdziemy na miary terenowe. W skali naszego podkładu (1:250), 1 milimetr = 25 centymetrów w terenie.
Zwróć jeszcze uwagę na poniższe zdjęcie. Na linii pomiarowej nr 1, w tej zielonej ramce jest odczytana miara końcowa tej linii, wynosząca 108 milimetrów. Dobrze jest takie miary odczytywać na każdej linii, bo później po przeliczeniu na miary terenowe można łatwo sprawdzić, czy wartość, którą otrzymaliśmy z mapy, zgadza się z wartością w terenie. Tym bardziej, że jak pamiętasz, wybieramy takie linie, które w terenie łatwo jest pomierzyć, a zarazem są wspólne dla mapy i terenu.
W kroku następnym dokonujemy przeliczenia miar, które posiadamy. Najlepiej zrobić to na oddzielnej kartce, aby uniknąć ewentualnych pomyłek. W sposób następujący:
Jak widzisz w prosty i przejrzysty sposób doszliśmy do miar terenowych dla linii pomiarowej nr 1 i 2. Tym samym uzyskaliśmy dane, do wyniesienia długiego odcinka tylnego obrzeża. Na linii pomiarowej nr 1 na podstawie jedenastu punktów, oznaczonych poniżej czerwonymi kropkami, a na linii pomiarowej nr 2, na podstawie punktów czternastu.
Na zakończenie, aby dobrze przygotować się do wyjścia w teren, warto uzyskane miary terenowe przepisać na kserokopię podkładu, którą zrobiłeś zanim zacząłeś wpisywać na nim miary. To ten stan poniżej.
Na nim nanosisz miary, które przepisujesz z powyższej tabeli. Oczywiście z zachowaniem odpowiednich miejsc, czyli na określonej linii i na danym domiarze, który miał określoną wartość „X” to teraz „X terenowe”. Ważnym jest aby tego nie pomylić, stąd też musisz to zrobić powoli i skrupulatnie.
Warto również pamiętać o wspomnianej wcześniej „wartości końcowej” każdej linii, od której z kolei należy zacząć odmierzanie w terenie. Jeśli wartość, którą otrzymałeś z pomiarów na podkładzie i obliczeń, zgadza się z wartością, która jest w terenie, oznacza to, że wszystko wykonałeś poprawnie. Oczywiście nigdy nie będzie się to zgadzało do centymetra, bo w końcu miary na podkładzie miałeś robione z pewnym szacunkiem. Jednak odstępstwo kilku, kilkunastu centymetrów (szczególnie w przypadku dłuższych linii), jest jak najbardziej dopuszczalne do tych celów. Natomiast jeśli różnice wychodzą Ci duże, musisz raz jeszcze przeanalizować wcześniejsze kroki, z pewnością na którymś etapie wkradł się jakiś błąd.
Na zakończenie pozostaje Ci tylko poprawnie wyznaczyć otrzymane wartości w terenie. Będziesz to robił metodą analogiczną jak dokonywałeś pomiaru elementów, które chciałeś nanieść na podkład. Z tym, że tam mając odpowiednio ułożone taśmy pomiarowe odczytywałeś wartości, a teraz będziesz robił odwrotnie, czyli znając wartości, będziesz do nich układał taśmy.
W tym celu, tak jak poprzednio, rozciągasz tą dłuższą, wiotką taśmę wzdłuż przyjętej linii pomiarowej, w ten sposób, że „zero” taśmy pokrywa się z początkiem tej linii. Osoba pomagająca przytrzymuje Ci tą taśmę. Następnie bierzesz tą drugą sztywną miarkę i pod kątem prostym ustawiasz ją do tej pierwszej taśmy, w miejscu, gdzie będzie wyznaczany pierwszy punkt.
Na powyższym zdjęciu jest to miara 8,75 metra, a zatem taka wartość na tej taśmie wzdłuż linii pomiarowej Cię interesuje. W tym miejscu, ustawiasz pod kątem prostym tą drugą, sztywną taśmę i odmierzasz na niej wartość 7,00 metra w lewo. Cały czas pilnując zachowania konta prostego. Tym sposobem na mierze po linii pomiarowej 8,75 metra i na domiarze 7 metrów w lewą stronę, uzyskujesz pierwszy, projektowany punkt. Tam wbijasz sobie przygotowany wcześniej palik drewniany lub stalowy pręt. Z kolejnymi punktami postępujesz identycznie.
Dla porządku przypomnę jeszcze, że przy krótkich odległościach domierzanych (tych domiarach od linii), możesz to zrobić „na oko” czyli mniej więcej wzrokowo wyznaczać konieczne kąty proste. Natomiast jeśli odległości są dłuższe i istnieje obawa, że kąta prostego nie wyznaczysz poprawnie, możesz wspomóc się np. jakimś większym kartonowym pudełkiem. Ustawiasz go jednym bokiem przy linii wiotkiej taśmy, a drugi wyznaczy Ci kąt prosty. Zresztą zupełnie analogicznie jak przy pracy na mapie, posługiwałeś się linijką dłuższą po linii głównej i ekierką, aby wyznaczyć linię do elementu.
Zachowując wszystkie powyższe zasady, w sposób niemal idealny jesteś w stanie przenieść swój projekt w teren. Musisz jednak pamiętać o wspomnianym wcześniej minimalnym, dopuszczalnym błędzie, na który w tej chwili składają się wszystkie wykonane wcześniej czynności. Tzn. przygotowanie podkładu projektowego, opracowanie projektu, kserokopie na poszczególnych etapach, odczytanie danych do wyniesienia oraz wreszcie samo wyniesienie czyli odmierzenie w terenie. Teoretycznie na każdym etapie powstał jakiś błąd, który teraz może się skumulować.
Niemniej jednak jeśli wszystko robiłeś poprawnie, krok po kroku naśladując moje kroki na poszczególnych etapach, w chwili obecnej nie powinieneś uzyskiwać dużych odchyłek pomiędzy wymiarami na podkładzie, a analogicznymi w terenie. Załóżmy więc, że do celów wyniesienia projektu, są to wartości dopuszczalne.
Dodam również, że w prezentowanym przeze mnie przykładzie wybrałem wariant najtrudniejszy. Zatem projekt swobodny, łuki i zakola, które stosunkowo najtrudniej płynnie narysować jak i wynieść w teren. Przynajmniej zdecydowanie trudniej niż projekt oparty na liniach prostych. Stąd też musisz pamiętać, że wyniesienie takiego projektu w teren (zresztą jak każdego) jest tylko czynnością pomocniczą. Oznacza to, że ma Ci umożliwić przeniesienie projektu z kartki w teren z zachowaniem ogólnych kształtów i zarysu przyszłego ogrodu oraz docelowego położenia, z uwzględnieniem wspomnianych przed momentem minimalnych błędów i odchyłek.
Jeśli raz jeszcze spojrzysz na fragment obrzeża, który przed chwilą omawialiśmy zobaczysz, że jest on zbudowany aż z 25. punktów. Każdy z nich kolejno musisz w terenie wyznaczyć, zachowując miary i kąty proste.
I oczywiście tak to zrobisz. Jednak jak już wyznaczysz go w terenie, wzrokowo musisz ocenić, czy jego krzywizna jest płynna i dobrze układa się „po terenie”. Mimo, że na rysunku jest to piękny łuk, to wyznaczając go uzyskujesz lekkie zaburzenie. Wystarczy, że na dwóch sąsiednich punktach lekko się pomyliłeś, np. jeden przesuwając o dziesięć centymetrów w lewo, a drugi o dziesięć centymetrów w prawo. W terenie będzie to już zauważalne, że stworzy się takie nienaturalne załamanie całego, płynnego łuku. Mając więc wyznaczony cały łuk na palikach, musisz go wzrokowo delikatnie wymodelować, czyli lekko, kosmetycznie podociągać poszczególne paliki aby stworzyć jedną płynną linię.
Możesz to zrobić wzrokowo lub metodą, którą opisałem w dalszej części podręcznika, przy wykonywaniu ogrodowych chodników. Jak wspomniałem, takie trudności są przede wszystkich przy łukach. Przy liniach prostych jest zdecydowanie prościej, przede wszystkim dlatego, że do wyznaczenia odcinka obrzeża potrzebujesz nie 25. punktów, a np. tylko trzech. Lub nawet dwóch.
Niezależnie jednak od opisanych minimalnych niedogodności i konieczności delikatnej korekty wyznaczenia, z całą pewnością możesz przyjąć, że opisana powyżej metoda wyniesienia projektu w teren jest skuteczna i precyzyjna. Pozwala na terenowe, wierne odtworzenie sytuacji projektowej z podkładu. Tym samym zdecydowanie powinieneś ją stosować, w celu wyznaczenia swojego projektu.
[s
.
Mam nadzieję, że z uwagą prześledziłeś powyższy przykład, a jednocześnie był ona dla Ciebie wyrażony przystępnym językiem.
Chciałbym abyś wiedział, że zagadnienia, które omawiałem, same w sobie nie należą do najłatwiejszych. Stąd też przekazanie tych informacji, w sposób prosty i zrozumiały, w wielu momentach było dla mnie niezwykle trudne. To, że ja wiem jak coś zrobić i o co w danym problemie chodzi to jedno, ale zamienić to na proste i zrozumiałe zdania, to zupełnie co innego. Na wielu etapach mnóstwo czasu straciłem właśnie na to, jak daną sprawę omówić i zobrazować. Jak do niej podejść, jakie wybrać przykłady i metodykę przekazu, aby nie zgubić wątku, a jednocześnie dogłębnie i kompleksowo przekazać zagadnienie. A założenie moje, od samego początku, było jasne: mam pisać do Ciebie jako do kogoś nie znającego się na sprawie, ale chcącego się dowiedzieć i świadomie nią pokierować. Nie jak do „zawodowca”, który jest w tej branży i nie zgubi wątku, nawet jak zrobię za duży skrót myślowy. Co więcej miał to być przekaz, który pozwoli Ci poszczególne zagadnienia poznać i zrealizować, a nie naszpikować Cię suchą teorią, oderwaną od rzeczywistości, której nie będziesz potrafił wykorzystać. W mojej ocenie się to udało, mam nadzieję, że Twoje odczucia są podobne.
Mam też nadzieję, że powyższy przykład pozwoli Ci podjąć ewentualną decyzję o zakupie podręcznika, względnie rozwiać Twoje wątpliwości. Gdyby tak było, to w tym miejscu, w końcówce wpisu, znajdziesz wszystkie informacje do tego, jak to zrobić.
Dodam też, że dla kupujących podręcznik rysują się też całkiem fajne perspektywy, w formie fajnych bonusów, które będą dołączone do podręcznika. Szczegóły zdradzę jednak dopiero w momencie premiery, tj. 15.04.2017 roku.
.
- Głogownik Frasera – oryginalna alternatywa dla laurowiśni - 21 października 2025
- Polskie ogrody jesienią – najpiękniejsze aranżacje - 15 października 2025
- Mata balkonowa – błyskawiczny sposób na osłonę balkonu - 13 października 2025






































Moja pierwsza rabata to była totalna porażka- nasadzenia bez przemyślenia bez wiedzy na temat kolejnych odmian. Efekt był taki ,że nic nie rosło tak jak miało, tworzyły się puste place , w innych miejscach rośliny się pokładały na siebie. Podsumowując miałam stracony rok, a moje rośliny musiały ponownie odchorować przesadzanie.
Ale wszystkiego można się nauczyć jak się chce.
Ogrodnictwo to moja pasja , a wiedzę na ten temat pragnę stale poszerzać, pogłębiać. Chciałam zostać architektem, projektować ogrody , rabaty, zieleń miejską. Niestety kiedy szłam na studia kierunków marzeń było jak na lekarstwo w pobliżu. Na dzienne potrzebne były egzaminy zawodowe, zaocznych nie było na mojej uczelni. Tak więc bardziej z musu zostałam Panią inżynier… geodezji… choć tylko na papierze. Zawodowo z różnych powodów osobistych dalej nie zaszłam, jednak miłość do ogrodów trwa i będzie trwała dalej, a zdobyta wiedza na studiach wiele razy pomogła tak w kwestach ogólnych jak i bardziej szczegółowych- takich jak pomysły na pierwsze rabaty. Takie planowanie sporo ułatwia, pozwala na uniknięcie wielkich błędów ( jako amatorka wciąż jednak jakieś popełniam) i warto faktycznie chociażby na niepomierzonym szkicu zawrzeć pomysł jaki zamierzamy mniej więcej osiągnąć.
I jeszcze jedno…
Wow… jestem pod wrażeniem. Zdaję sobie sprawę jak ciężko wytłumaczyć coś oczywistego. Nigdy nie byłam dobra z teorii. Pewne rzeczy łatwiej i szybciej zrobić/pokazać w praktyce niż wyjaśnić krok po kroku słownie. Często podsumowując swoje działania używałam najprostszej teorii- słowa,, bo tak” – co było niezbyt wystarczające dla profesorów geodezji 😀 choć samo rozwiązanie i tok myślenia był bez zastrzeżeń 😀
Wszystko zrozumiałe. Nawet dla mnie, a to oznacza Twoj duży sukces. 😉 Zamówienie poszło.
Dużo obliczeń i cyferek czarna magia:) Dobra robota 🙂
cieszę się że znalazłam ten blog.
mój ogród ma 2 lata. ogród to wielkie słowo – większość to trawa dla dzieci do kopania i dwa skwery które wymykają mi się spod kontroli.
i właśnie wraz z Tobą i twoim blogiem mam plan odzyskać kontrolę w tym roku.
przeznaczyłam kwotę na nasadzenia aby nie kupować chaotycznie, przydadzą się porady o tym jak łączyć rośliny, jak aranzować przestrzeń niewielkich skwerków, jakie odległości zachowywać między roślinami…
nie mam projektu. nie będę pomiarować 😀 ale muszę podjąć decyzję o roślinach które wybiorę – z racji niewielkich przestrzeni muszę zdecydować się na jakiś sensowny wybór bez nadmiaru…
mam nadzieję znaleźć tu pomoc 🙂
już wiem jak wygrodzić moje skwerki (do tej pory nie wydzielałam od trawnika i to był błąd) dziękuję.
za to że Ci się chce dzielić wiedzą – dziękuję 🙂